Chem|莫凡洋团队发表AI4S新进展:开发智能柱层析预测模型新方法
近日,莫凡洋团队在柱层析分离技术领域取得重要进展。研究团队通过融合自动化实验平台与机器学习算法,成功开发出柱层析分离条件的智能预测模型。作为有机化学实验室最核心的分离纯化技术,柱层析的分离效能依赖于层析柱规格、上样方式、流动相选择等关键参数的优化配置,这些参数的确定通常需要实验人员具备丰富的实践经验。然而,此类经验的积累往往需要长期培养与反复实践,且形成的认知体系与特定实验系统和研究者个体深度绑定,存在个体差异大、难以标准化、知识传承效率不足等问题,这些问题客观上制约了该项技术的创新迭代速率。
图1. 自动化与机器学习结合建立柱层析预测模型
针对以上问题,研究团队创新性地开展了柱层析机器学习预测模型研究。团队首先搭建了自动化实验平台,系统采集了218种有机化合物在6365次柱层析实验中的保留体积数据,构建了包含分子结构特征、洗脱剂比例、上样质量、层析柱规格等多维实验参数的标准化数据集。这种数据采集方法实现了传统经验依赖型分离过程向定量化、标准化科学问题的转化。
图2. 特征工程
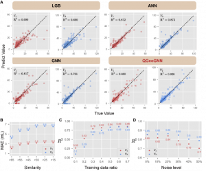
基于此数据集,研究团队开发了分位数几何增强图神经网络(QGeoGNN)模型。该模型通过构建原子-键图(GraphG)和键-角图(GraphH)双重图表征,实现了分子三维结构特征与实验条件的协同建模。其中,原子-键图精确描述分子拓扑结构,键-角图则有效捕捉分子空间构型特征。研究首创性地将实验参数嵌入图神经网络的边特征,使模型能够同时考虑分子特性和实验条件的影响。验证实验显示,该模型对保留体积的预测决定系数R²达0.9以上,显著优于传统经验方法。此外,模型采用的分位数学习技术还可提供预测结果的置信区间,为实验设计提供科学依据。
图3. 不同算法训练结果对比
在应用验证阶段,研究团队选取了Claisen重排反应、钯催化偶联反应、氰基加成反应等典型有机反应体系进行系统评估。结果表明,该智能预测系统对不同规格层析柱(4g-40g)和多种溶剂体系(如石油醚/乙酸乙酯、二氯甲烷/甲醇等)均展现出良好的适应性。团队提出的分离概率(Sp)指标能够定量评估特定条件下混合物的分离效果,为实验设计提供可靠的量化依据。经核磁共振验证,采用模型预测条件获得的产物纯度均达到预期标准,充分证实了该智能预测模型在化学研究中的的实用价值。
图4. 实验验证
该研究不仅为有机合成纯化工艺优化提供了创新性技术方案,同时为人工智能在化学领域的深度应用拓展了新路径。为促进学术共享,研究团队已将相关数据集和模型代码在GitHub平台开源。
研究成果以“Intelligent Column Chromatography Prediction Model Based on Automation and Machine Learning”为题,于2025年5月29日在线发表于Cell Press旗下化学领域旗舰期刊《Chem》。论文通讯作者为新材料学院莫凡洋长聘副教授,第一作者为课题组博士生吴文超。该工作得到北京大学深圳研究生院AI4S交叉研究专项计划支持。





