Le Chang , Hao Jiang , Junkai Fu , Bin Liu , Chuang-chuang Li, and Zhen Yang
J. Org. Chem., 2012, 77, 3609
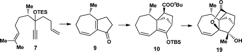
A concise synthetic pathway that enables the stereoselective construction of the tetracyclic core of nanolobatolide has been developed by applying a tandem ring-closing metathesis (RCM) reaction of dienynes, a Eu(fod)3-catalyzed intermolecular Diels–Alder reaction, and a biomimetic epoxide opening reaction as key steps.
